تحديد موعد صرف العوائد التقاعدية للصحفيين السبت (قوائم)

عقدت لجنة تصفية صندوق التقاعد في نقابة الصحفيين الأردنيين اجتماعاً اليوم الثلاثاء برئاسة الزميل ينال البرماوي نائب النقيب / رئيس لجنة تصفية صندوق التقاعد وحضور أعضاء اللجنة الزملاء نيفين عبد الهادي وسيف الدين صوالحة وطارق الدعجة ومندوب مدقق الحسابات السيد محمد عبابنة .

وقد اطلعت اللجنة على كتاب مديرة النقابة الذي أشار إلى عدم تلقي النقابة أية اعتراضات أو مطالبات من أي جهة كانت على قرار تصفية الصندوق وذلك ضمن المدة القانونية. وبناء على ذلك قررت اللجنة السير بإجراءات تصفية الصندوق حسب الأصول القانونية.

وبموجب ذلك تم حصر موجودات الصندوق بشكل نهائي والاطلاع على كافة الحسابات الخاصة به من إيرادات ونفقات الحسبة المالية للعائدات التقاعدية لكل زميل وزميلة مشترك بالصندوق، واطلعت اللجنة على إجراءات المقاصة التي تمت على حسابات عدد من الزملاء المشتركين بالصندوق وتسديد ما عليهم من ذمم مالية تعود لصناديق النقابة الأخرى بموجب طلبات خطية منهم.

كما اطلعت اللجنة أيضاً على الاستشارة القانونية المقدمة من المستشار القانوني للنقابة المحامي محمود قطيشات والتي تؤكد إلزامية إعادة العائدات التقاعدية للزملاء المنقولين الى سجلات غير الممارسين لعدم تقدمهم بطلبات خطية لذلك.

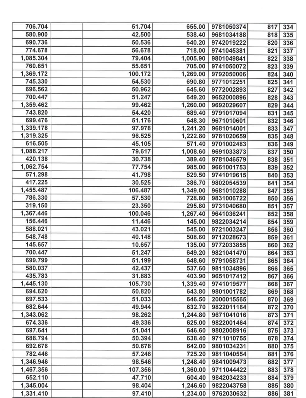
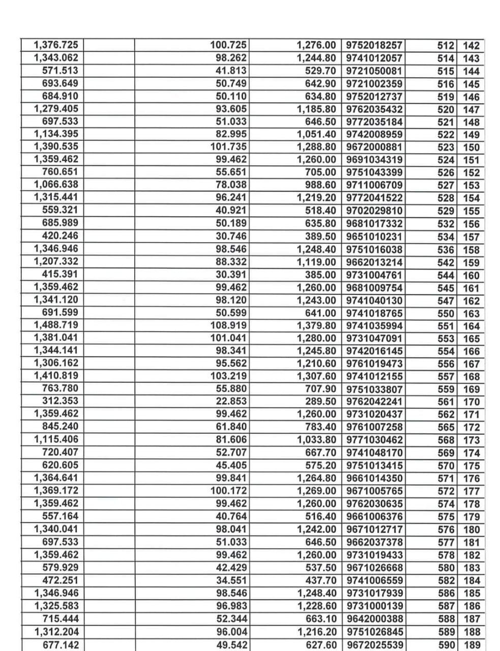
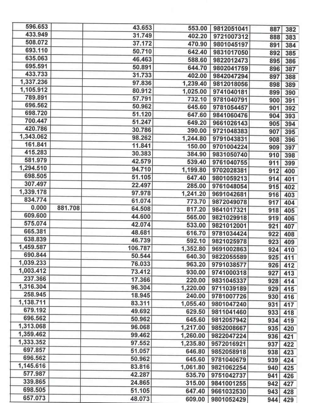
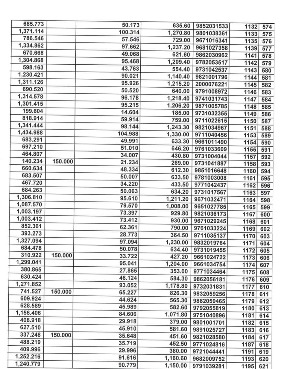
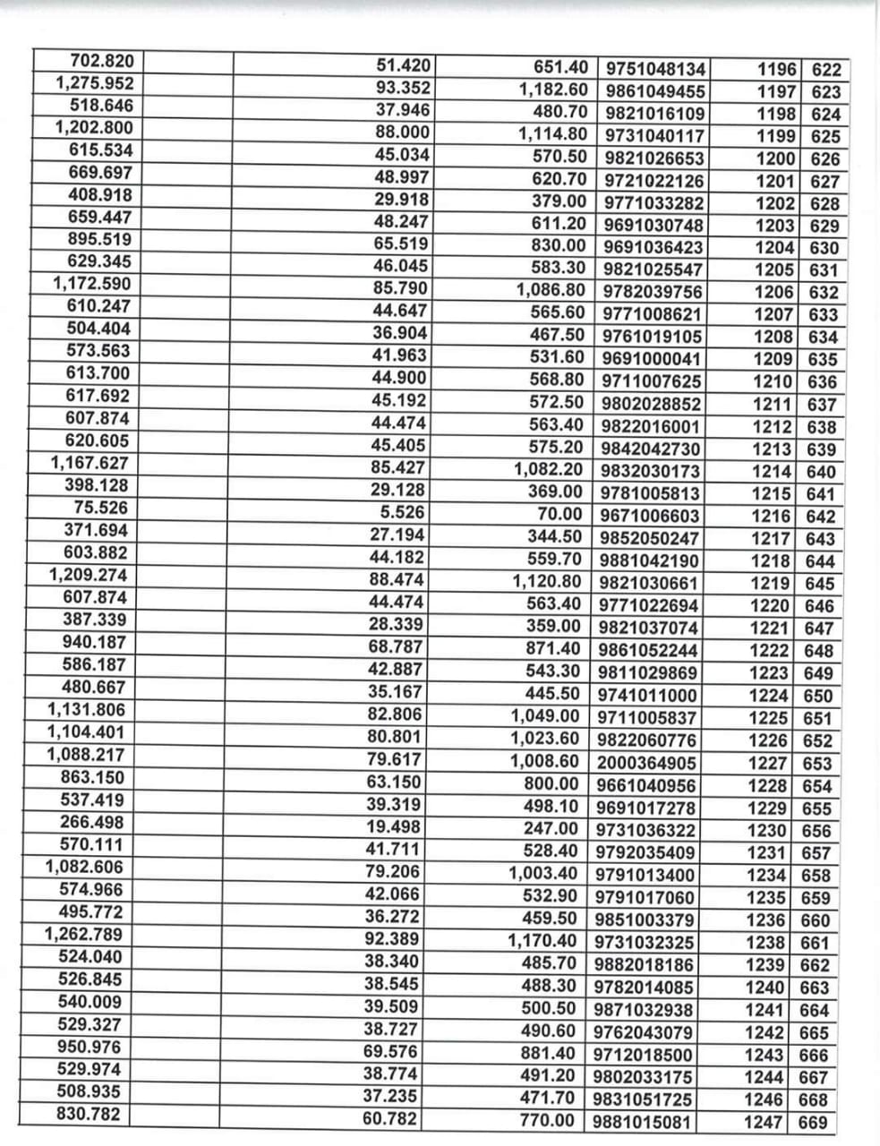
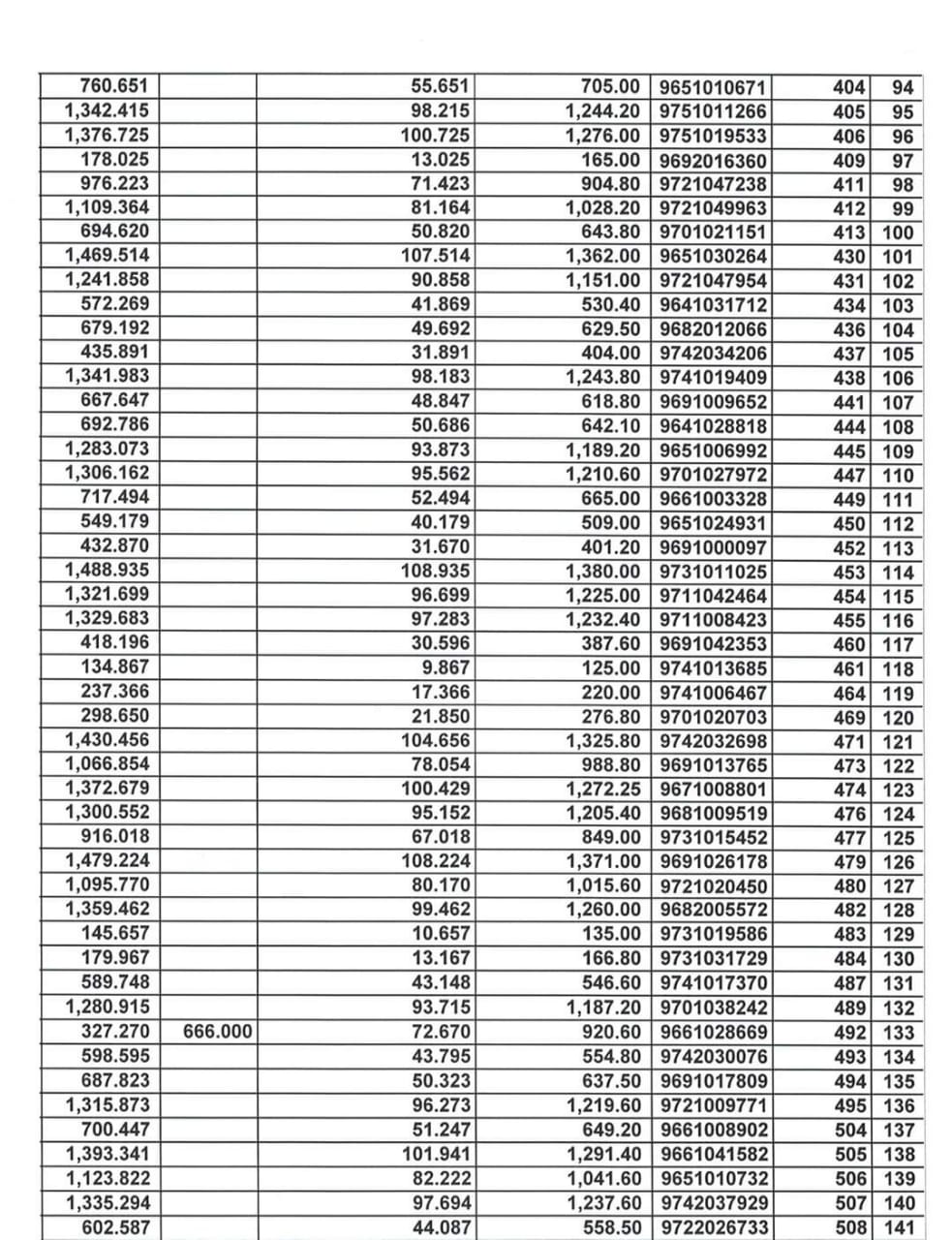
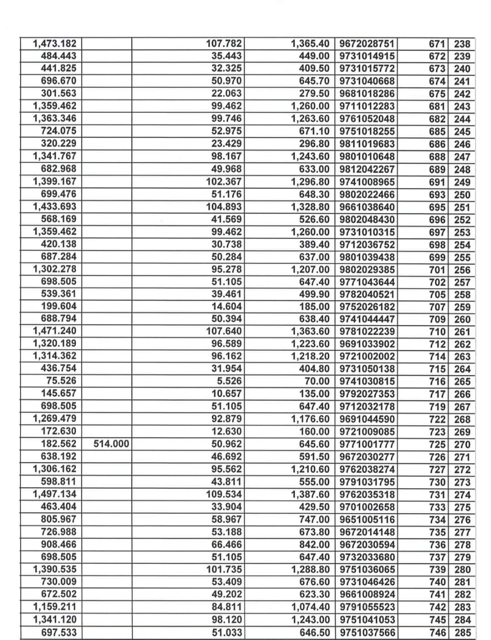
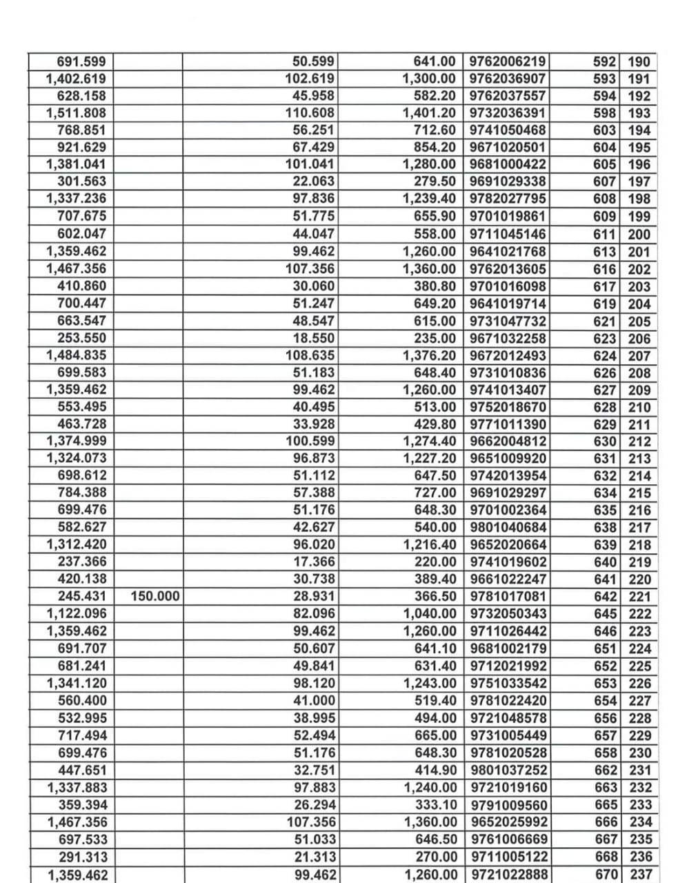
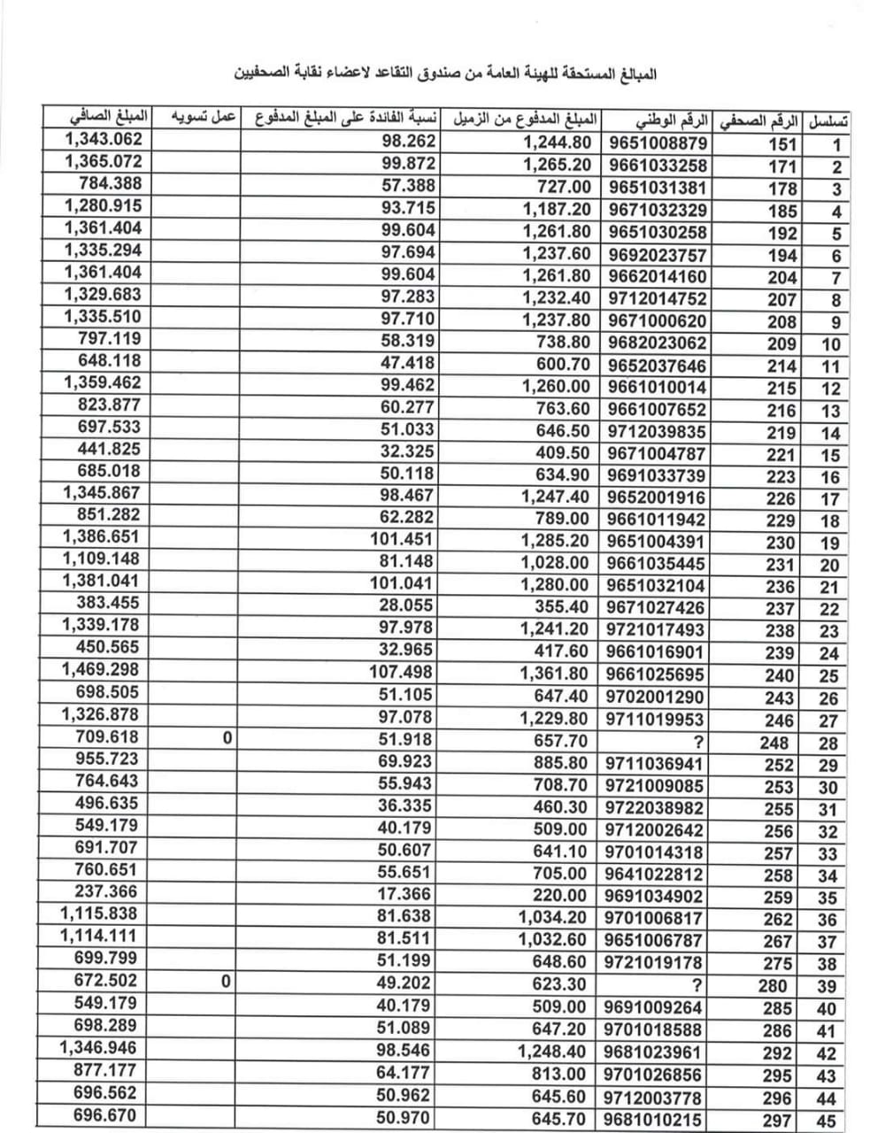
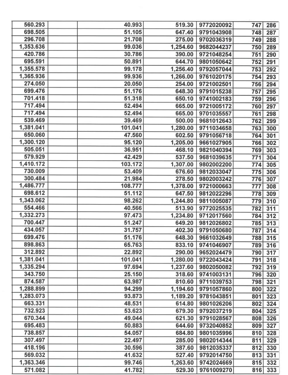
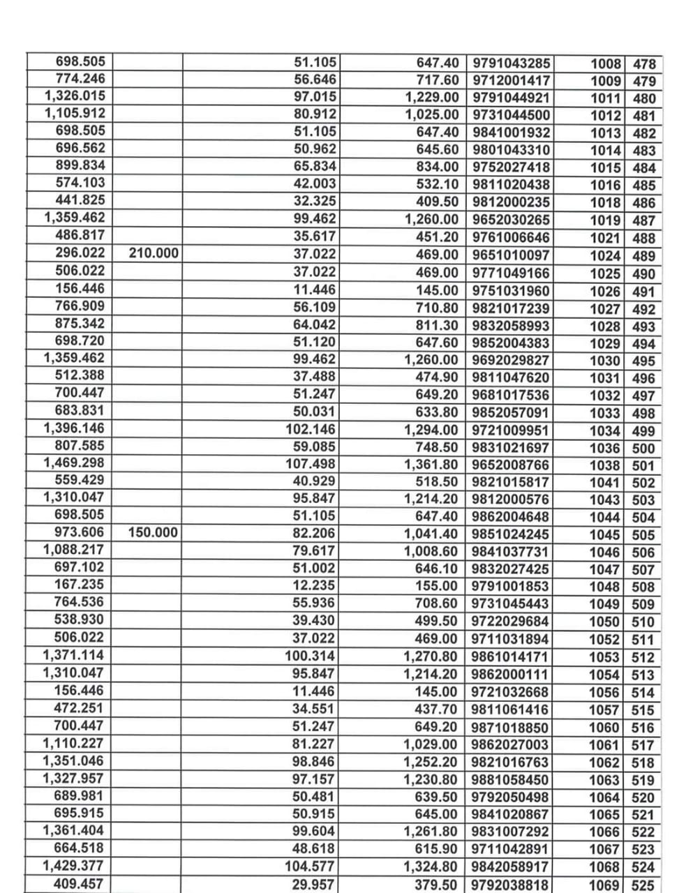
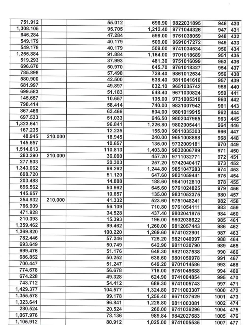
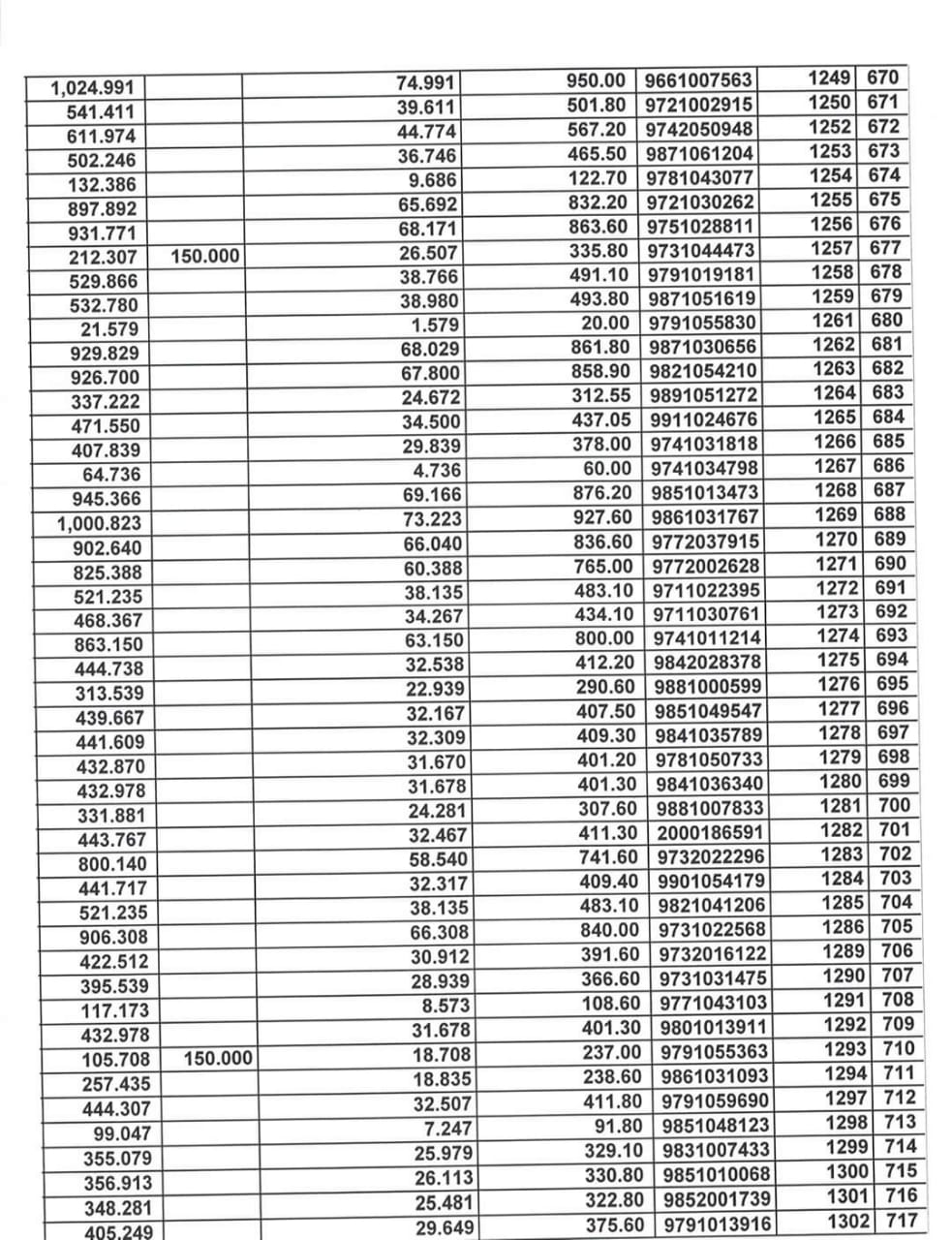
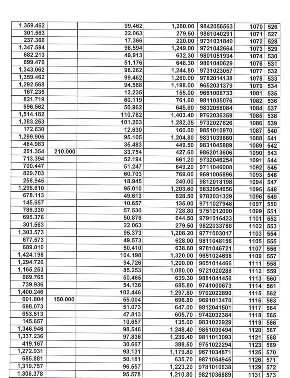
وقررت اللجنة نشر كشوفات الزملاء المشتركين بالصندوق بدلالة أرقامهم الوطنية دون ذكر الاسماء مبيناً ازاء كل منهم قيمة العوائد التقاعدية والفائدة البنكية، وذلك على صفحة النقابة على الفيس بوك Jordan Press Association- نقابة الصحفيين الأردنيين ولوحة الإعلانات الداخلية بالنقابة ولمدة يومين فقط أعتباراً من اليوم ... ودعت اللجنة الزملاء للاطلاع عليها.

وأكدت اللجنة على مدقق الحسابات القانوني للنقابة للإسراع بالتدقيق على الكشوفات والحسابات المالية العائدة للصندوق والتي بدأ بها يوم أمس الاثنين وتحتاج عدة أيام للانتهاء منها.

وقررت اللجنة عقد اجتماع لها يوم السبت المقبل للمصادقة على تقريرها النهائي والإعلان عن موعد بدء صرف مستحقات المشتركين بالصندوق.